W tym zadaniu oblicz czas, po jakim nurkowi wyczerpie się powietrze, jeśli średnie zużycie powietrza wynosi
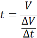
Czas, po jakim wyczerpie się powietrze:
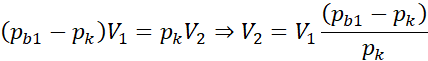
Temperatura jest stała, więc przemiana jest izotermiczna, czyli iloczyn pV jest stały, stąd obliczamy objętość powietrza dostępną nurkowi:
Więc:
Podstawiając wartości liczbowe:
Odpowiedź: Powietrze wyczerpie się po 2,25 min.
Korzystamy z własności przemian izotermicznych – iloczyn ciśnienia i objętości jest stały. Aby obliczyć czas, po którym wyczerpie się powietrze, dzielimy dostępną nurkowi objętość powietrza przez jego średnie zużycie.
Przykład Przykład 1.
75Przykład Przykład 2.
76Przykład Przykład 3.
79Przykład Przykład 4.
81Przykład Przykład 5.
83Przykład Przykład 6.
84Zadanie 8.1.3.
86Zadanie 8.1.4.
87Zadanie 8.1.5.
87Zadanie 8.1.6.
87Zadanie 8.1.8.
88Zadanie 8.1.9.
89Zadanie 8.1.10.
89Zadanie 8.1.15.
90Zadanie 8.1.21.
91Zadanie 8.1.24.
91Zadanie 8.1.25.
92Zadanie 8.1.28.
92Zadanie 8.1.30.
93Zadanie 8.1.33.
93Przykład Przykład 1.
94Przykład Przykład 2.
95Przykład Przykład 3.
97Zadanie 8.2.5.
99Zadanie 8.2.8.
100Zadanie 8.2.11.
100Zadanie 8.2.13.
100Zadanie 8.2.14.
101Zadanie 8.2.15.
101Przykład Przykład 3.
103Przykład Przykład 4.
106Zadanie 8.3.7.
108Zadanie 8.3.9.
109Zadanie 8.3.10.
109Zadanie 8.3.11.
109Przykład Przykład
110Zadanie 8.4.2.
112Przykład Przykład. Balon
116Zadanie Zadanie 1. Cykl przemian
118Zadanie Zadanie 2. Silnik spalinowy
118Zadanie Zadanie 3. Cząsteczki gazu
119