W tym zadaniu oblicz pracę uzyskaną w jednym cyklu przemian przedstawionym na wykresie. Znane są stała gazowa R, ciepło molowe gazu jednoatomowego przy stałej objętości
Ciepło oddane obliczymy jako różnicę ciepła pobranego i wykonanej pracy:
Gaz pobiera ciepło w przemianach
Zapisujemy równania Clapeyrona dla wszystkich stanów termodynamicznych:
Wstawiając te zależności do równania na ciepło pobrane:
Podstawiając wartości liczbowe:
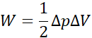
Praca w cyklu termodynamicznym jest równa polu wewnątrz cyklu na wykresie:
Podstawiając wartości liczbowe:
Więc ciepło oddane jest równe:
Odpowiedź: W cyklu gaz oddał ciepło 25 500 J.
Ciepło jest oddawane w przemianie
Przykład Przykład 1.
75Przykład Przykład 2.
76Przykład Przykład 3.
79Przykład Przykład 4.
81Przykład Przykład 5.
83Przykład Przykład 6.
84Zadanie 8.1.3.
86Zadanie 8.1.4.
87Zadanie 8.1.5.
87Zadanie 8.1.6.
87Zadanie 8.1.8.
88Zadanie 8.1.9.
89Zadanie 8.1.10.
89Zadanie 8.1.15.
90Zadanie 8.1.21.
91Zadanie 8.1.24.
91Zadanie 8.1.25.
92Zadanie 8.1.28.
92Zadanie 8.1.30.
93Zadanie 8.1.33.
93Przykład Przykład 1.
94Przykład Przykład 2.
95Przykład Przykład 3.
97Zadanie 8.2.5.
99Zadanie 8.2.8.
100Zadanie 8.2.11.
100Zadanie 8.2.13.
100Zadanie 8.2.14.
101Zadanie 8.2.15.
101Przykład Przykład 3.
103Przykład Przykład 4.
106Zadanie 8.3.7.
108Zadanie 8.3.9.
109Zadanie 8.3.10.
109Zadanie 8.3.11.
109Przykład Przykład
110Zadanie 8.4.2.
112Przykład Przykład. Balon
116Zadanie Zadanie 1. Cykl przemian
118Zadanie Zadanie 2. Silnik spalinowy
118Zadanie Zadanie 3. Cząsteczki gazu
119