W tym zadaniu oblicz gęstość wodoru i otaczającego go powietrza na wysokości h, jeśli panuje tam ciśnienie p2 = 300 hPa i temperatura T2 = -45oC, a podczas startu balon startował przy ciśnieniu atmosferycznym p1 = 1013 hPa i w temperaturze otoczenia T1 = 17oC.Gęstość wodoru i powietrza w warunkach początkowych wynoszą:
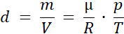
Z definicji gęstość wyraża się wzorem:
We wzorze tym nie znamy zarówno masy, jak i objętości. Aby wyznaczyć ten iloraz, korzystamy z równania Clapeyrona:
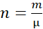
gdzie liczba moli
Po wstawieniu tej zależności do równania Clapeyrona wyznaczamy z niego iloraz masy i objętości:
Otrzymaliśmy wzór na gęstość:
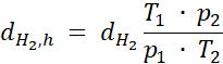
Korzystamy z powyższej zależności – układamy równania na gęstość wodoru przy powierzchni ziemi i na wysokości h:
Dzielimy równania stronami i wyznaczamy szukaną gęstość wodoru na wysokości h:
Obliczamy szukaną gęstość wodoru:
Z analogicznego wzoru obliczymy gęstość powietrza na wysokości h (zamiast gęstości wodoru podstawimy gęstość powietrza):
Odpowiedź: Na wysokości 9000 m gęstość wodoru w balonie wynosi ok.
Korzystając z równania Clapeyrona, do którego zamiast liczby moli podstawiamy iloraz masy gazu i jego masy molowej, wyznaczamy iloraz masy i objętości gazu. Wyznaczamy gęstość w sytuacji początkowej i końcowej, a następnie dzielimy równania stronami, żeby otrzymać wyrażenie na gęstość końcową.
Przykład Przykład 1.
75Przykład Przykład 2.
76Przykład Przykład 3.
79Przykład Przykład 4.
81Przykład Przykład 5.
83Przykład Przykład 6.
84Zadanie 8.1.3.
86Zadanie 8.1.4.
87Zadanie 8.1.5.
87Zadanie 8.1.6.
87Zadanie 8.1.8.
88Zadanie 8.1.9.
89Zadanie 8.1.10.
89Zadanie 8.1.15.
90Zadanie 8.1.21.
91Zadanie 8.1.24.
91Zadanie 8.1.25.
92Zadanie 8.1.28.
92Zadanie 8.1.30.
93Zadanie 8.1.33.
93Przykład Przykład 1.
94Przykład Przykład 2.
95Przykład Przykład 3.
97Zadanie 8.2.5.
99Zadanie 8.2.8.
100Zadanie 8.2.11.
100Zadanie 8.2.13.
100Zadanie 8.2.14.
101Zadanie 8.2.15.
101Przykład Przykład 3.
103Przykład Przykład 4.
106Zadanie 8.3.7.
108Zadanie 8.3.9.
109Zadanie 8.3.10.
109Zadanie 8.3.11.
109Przykład Przykład
110Zadanie 8.4.2.
112Przykład Przykład. Balon
116Zadanie Zadanie 1. Cykl przemian
118Zadanie Zadanie 2. Silnik spalinowy
118Zadanie Zadanie 3. Cząsteczki gazu
119