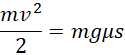
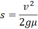
Wykaż, że droga pokonana przez pudełko popchnięte po podłodze jest proporcjonalna do jego masy.
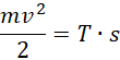
Energia początkowa pudełka jest równa pracy, jaką wykona siła tarcia podczas tego ruchu.
Zadanie 1
Zadanie 2
Zadanie 3
Zadanie 4
Podpunkt a)
Podpunkt b)
Podpunkt c)
Zadanie 5
Podpunkt d)
Podpunkt e)
Podpunkt f)