Dane:
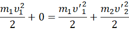
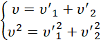
Zasada zachowania pędu – zderzenie sprężyste:
Zasada zachowania energii – zderzenie sprężyste:
Co jest zgodne z doświadczeniem.
Aby wykazać zgodność z doświadczeniem, korzystamy z zasada zachowania pędu oraz energii kinetycznej w zderzeniu sprężystym. Dokonując przekształceń wyznaczamy wartości obu ciała po zderzeniu – pierwsza z monet się zatrzyma przekazując całą energię spoczywającemu ciału, przez co ten zacznie się poruszać z tą samą prędkością.