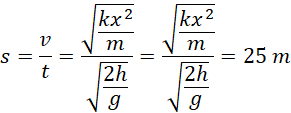
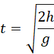
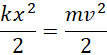
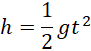
Jaki jest zasięg strzały, jeśli zostaje wystrzelona poziomo z wysokości 120 metrów?
Zasięg strzały wynosi 25 metrów.
Na początku obliczamy prędkość początkową strzały, potem jej czas spadania z wysokości 120 metrów, znając te dwie wartości, możemy obliczyć zasięg.
Zadanie 1
Zadanie 2
Zadanie 3
Zadanie 4
Podpunkt a)
Podpunkt b)
Podpunkt c)
Zadanie 5
Podpunkt d)
Podpunkt e)
Podpunkt f)