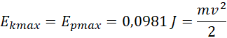
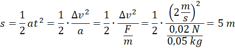
Aby obliczyć drogę pokonaną przez samochodzik, wyznacz jego prędkość na dole równi, w tym celu skorzystaj z zasady zachowania energii (energia potencjalna na górze równi jest równa energii kinetycznej na dole). Znając tą prędkość możesz wyznaczyć pokonaną drogę ze znanych ci już praw dla ruchu jednostajnie opóźnionego.