Wózek rozwinie prędkość
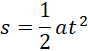
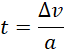
Na wózek działa siła ciężkości ciężarka o wartości 1 N, znając masę układu możemy wyznaczyć jego przyspieszenie zgodnie z II ZDN, a następnie z praw ruchu jednostajnie przyspieszonego prędkość, jaką rozwinie po przejechaniu 10 cm.