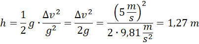
Jaka maksymalną wysokość osiągnie kamień?
Kamień wzniesie się na wysokość 1,27 metra.
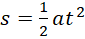
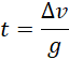
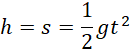
Kamień porusza się ruchem jednostajnie opóźnionym, a więc wysokość, na jaką się wzniesie możemy wyznaczyć ze wzoru .
Zadanie 1
Zadanie 2
Zadanie 3
Zadanie 4
Podpunkt a)
Podpunkt b)
Podpunkt c)
Zadanie 5
Podpunkt d)
Podpunkt e)
Podpunkt f)