Jak wysoko wzbije się strzała o masie 40 g, jeśli podczas wystrzelenia cięciwa została naciągnięta na odległość 60 cm względem łuku?
Rozwiązanie
Strzała wzbiję się na wysokość 137 metrów.
Wyjaśnienie
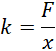
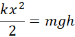
Początkowa energia kinetyczna strzały, a więc i maksymalna energia potencjalna jest równa energii, zmagazynowanej w strzale, podczas gdy jest ona naciągnięta na odległość 60 cm względem łuku.