Maksymalne wydłużenie sprężyny będzie wynosić 0,2 metra.
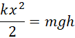
Energia potencjalna sprężystości sprężyny w momencie, gdy jest ona wychylona najdalej z położenia równowagi, jest równa energii potencjalnej ciężarka w wtedy, gdy długość sprężyny wynosi 10 cm.