Dane:
Zasada zachowania pędu – zderzenie sprężyste:
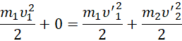
Zasada zachowania energii – zderzenia sprężyste:
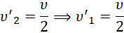
Korzystamy z zasady zachowania pędu oraz zachowania energii kinetycznej w zderzeniu sprężystym. Dokonując przekształceń wyznaczamy wartości obu ciała po zderzeniu – obie będą miały jednakowe prędkości dwukrotnie mniejsze od początkowej prędkości jednogroszówki.