Dane:
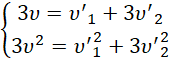
Zasada zachowania pędu – zderzenie sprężyste:
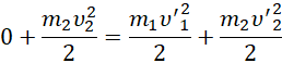
Zasada zachowania energii – zderzenia sprężyste:
Korzystamy z zasady zachowania pędu oraz zachowania energii kinetycznej w zderzeniu sprężystym. Dokonując przekształceń wyznaczamy wartości obu ciała po zderzeniu – cięższa moneta będzie poruszać się z prędkością dwukrotnie mniejszą.