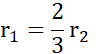
Dwa przewody elektryczne są wykonane z tego samego materiału i mają ten sam opór, a promienie przekroju są w zależności r1 : r2 = 2 : 3. Policz stosunek między długościami przewodów.
Opór elektryczny 1:
Opór elektryczny 2:
Zależność między promieniami:
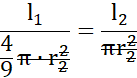
Pola przekroju:
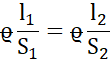
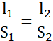
Porówanie oporów:
Wzór na opór elektryczny:
gdzie R – opór elektryczny [Ω],
l – długość przewodu [m],
S – pole przekroju poprzecznego przewodu [m2],
Wzór na pole przekroju przewodnika kołowego ma postać:
gdzie d – to średnica przekroju poprzecznego [m]
lub:
gdzie r – promień przekroju kołowego [m].
Zadanie 13.2.1.
163Zadanie 13.2.2.
163Zadanie 13.2.5.
164Zadanie 13.2.6.
164Zadanie 13.3.11.
170Zadanie 13.3.12.
171Zadanie 13.3.13.
171Zadanie 13.3.14.
171Zadanie 13.4.1.
173Zadanie 13.4.2.
174Zadanie 13.4.3.
174Zadanie 13.4.6.
174Zadanie 13.4.8.
175Zadanie 13.5.5.
179Zadanie 13.5.7.
179Zadanie 13.5.10.
180Zadanie 13.5.15.
181Zadanie 13.6.4.
189Zadanie 13.6.7.
189Zadanie 13.6.11.
190Zadanie 13.6.12.
190Zadanie 13.6.13.
190Zadanie 13.6.14.
191Zadanie 13.6.15.
191Zadanie 13.7.4.
196Zadanie 13.7.7.
197Zadanie 13.8.3.
203Zadanie 13.8.5.
203Zadanie 13.8.7.
204Zadanie 13.8.8.
204Zadanie 13.8.14.
205