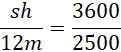
Droga hamowania jest proporcjonalna do kwadratu prędkości pojazdu, od jakiej rozpoczyna się hamowanie, zatem;
sh – droga hamowania
Całkowita droga hamowania: 16,7 + 17,3 = 34m
Całkowita droga hamowania przy 50
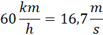
Odp.: Całkowita droga hamowania przy prędkości 60
Droga hamowania jest proporcjonalna do kwadratu prędkości pojazdu, od jakiej rozpoczyna się hamowanie. Znając drogę hamowania dla prędkości 50