Nie należy wierzyć zapewnieniom tego producenta; podany tekst jest fałszem.
Nowa moc będzie 1,26 razy większa od pierwotnej, czyli wzrośnie o około 26%.
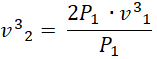
Moc pojazdu jest proporcjonalny do sześcianu prędkości maksymalnej. Możemy zatem sprawdzić, ile będzie wynosić nowa prędkość maksymalna w stosunku do poprzedniej dla dwa razy większej mocy.
Z powyższych obliczeń wynika, że prędkość wzroście o około 26%, zatem podana reklama jest nieprawdą.