Należy obliczyć okres drgań klocka.
Dane:
Szukane:
Rozwiązanie:
Dla
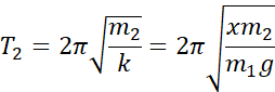
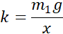
Kiedy ciężarek był zawieszony na sprężynie, działały na niego dwie siły, które się równoważyły siła sprężystości i siła ciężkości, były sobie zatem równe, stąd wyprowadzamy wzór na współczynnik sprężystości. Następnie rozpisujemy wzór na okres drgań, w momencie, w którym na sprężynie zawieszono klocek o masie
Zadanie 9.1.5.
135Zadanie 9.1.7.
136Zadanie 9.1.8.
136Zadanie 9.1.10.
136Zadanie 9.1.11.
137Zadanie 9.1.12.
137Zadanie 9.1.13.
137Zadanie 9.1.14.
137Zadanie 9.2.7.
144Zadanie 9.2.8.
144Zadanie 9.2.11.
145Zadanie 9.2.12.
145Zadanie 9.1.14.
145Zadanie 9.3.1
149Zadanie 9.3.7.
150Zadanie 9.3.8.
150Zadanie 9.3.10.
150Zadanie 9.3.11.
150Zadanie 9.3.12.
151Zadanie 9.3.14.
151Zadanie 9.4.2.
159Zadanie 9.4.10.
161Zadanie 9.4.17.
162Zadanie 1. Ruch drgający
174Zadanie 2. Suwnica bramowa
174Zadanie 3. Dwie sprężyny
175Zadanie 4. Winda towarowa
175Zadanie 5. Wahadło fizyczne
176