Dane:
Szukane:
Rozwiązanie:
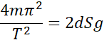
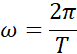
Siła powodująca ruch wody to:
Jedyną siłą działającą na słup wody to siła ciężkości, która wprawia ciecz w drgania harmoniczne. Jednocześnie wiemy, że jeżeli ciało drga harmonicznie to działa na niego niezrównoważona siła.