Dane:
Szukane:
Rozwiązanie:
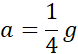
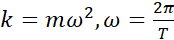
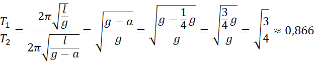
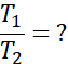
Okres pierwszy wyliczamy wprost ze wzoru, gdyż winda jedzie ze stałą prędkością, to przyśpieszenie całego układu jest stale równe g, sytuacja się zmienia, kiedy winda zacznie zjeżdżać w dół ruchem jednostajnie przyśpieszonym, wówczas na wahadło będzie działać dodatkowo siła bezwładności zwrócona przeciwnie do wektora przyśpieszenia windy, zatem wypadkowa siła działająca na ciężarek zawieszony na wahadle jest różnicą tych sił, więc przyśpieszenie całego układu jest równe