Dane:
Szukane:
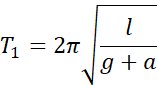
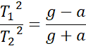
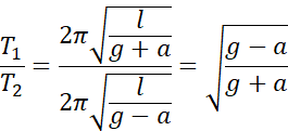
Rozwiązanie:
Przyspieszenie układu wahadła i windy jadącej do góry jest równe sumie przyspieszenia ziemskiego i przyspieszenia, z jakim porusza się winda, wynika to z tego, że na wahadło działa siła bezwładności zwrócona pionowo w dół, gdyż zawsze jest zwrócona przeciwnie do wektora przyspieszenia, co nam daje, że siły te dodadzą się, analogicznie mamy z windą jadącą w dół, z tym że tam siła bezwładności ma przeciwny zwrot niż siła ciężkości, dlatego przyspieszenia będziemy odejmować. Następnie chcemy obliczyć przyspieszenie, z jakim poruszała się winda, w tym celu podzielimy przez siebie okresy 1 i 2, gdyż w ten sposób zlikwidujemy parametr