Należy uzupełnić tabelę brakującymi wartościami praz sporządzić wykres tej zależności.
Dane:
Rozwiązanie:
| 4 | 3 | 2,5 | 2 | 1,5 | 1 | 0,5 | 0 | |
| 4 | 3,4 | 3,1 | 2,8 | 2,4 | 2,0 | 1,4 | 0 |
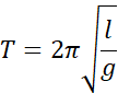
Korzystając ze wzoru na okres drgań, uzupełniamy tabelę o szukane wartości, a następnie na podstawie wzoru na okres rysujemy jego wykres w zależności od długości wahadła.
Zadanie 9.1.5.
135Zadanie 9.1.7.
136Zadanie 9.1.8.
136Zadanie 9.1.10.
136Zadanie 9.1.11.
137Zadanie 9.1.12.
137Zadanie 9.1.13.
137Zadanie 9.1.14.
137Zadanie 9.2.7.
144Zadanie 9.2.8.
144Zadanie 9.2.11.
145Zadanie 9.2.12.
145Zadanie 9.1.14.
145Zadanie 9.3.1
149Zadanie 9.3.7.
150Zadanie 9.3.8.
150Zadanie 9.3.10.
150Zadanie 9.3.11.
150Zadanie 9.3.12.
151Zadanie 9.3.14.
151Zadanie 9.4.2.
159Zadanie 9.4.10.
161Zadanie 9.4.17.
162Zadanie 1. Ruch drgający
174Zadanie 2. Suwnica bramowa
174Zadanie 3. Dwie sprężyny
175Zadanie 4. Winda towarowa
175Zadanie 5. Wahadło fizyczne
176