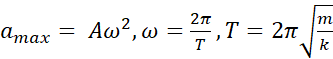
Należy obliczyć maksymalną prędkość i przyśpieszenie przy podanych parametrach.
Szukane:
Rozwiązanie:
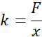
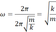
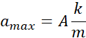
Z wykresu odczytujemy dane potrzebne do obliczenia współczynnika sprężystości. Korzystając ze wzorów
Zadanie 9.1.5.
135Zadanie 9.1.7.
136Zadanie 9.1.8.
136Zadanie 9.1.10.
136Zadanie 9.1.11.
137Zadanie 9.1.12.
137Zadanie 9.1.13.
137Zadanie 9.1.14.
137Zadanie 9.2.7.
144Zadanie 9.2.8.
144Zadanie 9.2.11.
145Zadanie 9.2.12.
145Zadanie 9.1.14.
145Zadanie 9.3.1
149Zadanie 9.3.7.
150Zadanie 9.3.8.
150Zadanie 9.3.10.
150Zadanie 9.3.11.
150Zadanie 9.3.12.
151Zadanie 9.3.14.
151Zadanie 9.4.2.
159Zadanie 9.4.10.
161Zadanie 9.4.17.
162Zadanie 1. Ruch drgający
174Zadanie 2. Suwnica bramowa
174Zadanie 3. Dwie sprężyny
175Zadanie 4. Winda towarowa
175Zadanie 5. Wahadło fizyczne
176