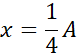
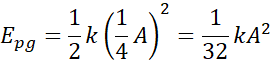
Należy obliczyć stosunek energii potencjalnej grawitacji do kinetycznej obiektu w momencie, kiedy wychylenie jest równe
Dane:
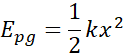
Szukane:
Rozwiązanie:
W ruchu harmonicznym prostym energia potencjalna grawitacji jest równa energii potencjalnej sprężystości, mimo że nie ma sprężyny. Energię kinetyczną obliczamy odejmując od całkowitej energii układu potencjalną sprężystości, czyli potencjalną grawitacji.
Zadanie 9.1.5.
135Zadanie 9.1.7.
136Zadanie 9.1.8.
136Zadanie 9.1.10.
136Zadanie 9.1.11.
137Zadanie 9.1.12.
137Zadanie 9.1.13.
137Zadanie 9.1.14.
137Zadanie 9.2.7.
144Zadanie 9.2.8.
144Zadanie 9.2.11.
145Zadanie 9.2.12.
145Zadanie 9.1.14.
145Zadanie 9.3.1
149Zadanie 9.3.7.
150Zadanie 9.3.8.
150Zadanie 9.3.10.
150Zadanie 9.3.11.
150Zadanie 9.3.12.
151Zadanie 9.3.14.
151Zadanie 9.4.2.
159Zadanie 9.4.10.
161Zadanie 9.4.17.
162Zadanie 1. Ruch drgający
174Zadanie 2. Suwnica bramowa
174Zadanie 3. Dwie sprężyny
175Zadanie 4. Winda towarowa
175Zadanie 5. Wahadło fizyczne
176