Należy obliczyć przyspieszenie ziemskie na podstawie danych z treści zadania oraz oszacować niepewność bezwzględną.
Dane:
Rozwiązanie:
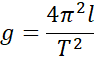
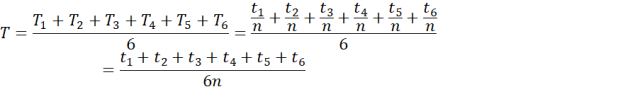
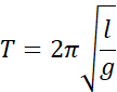
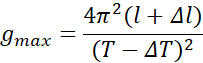
W pierwszej kolejność obliczamy średni okres drgań, następnie korzystając ze wzoru na okres drgań wahadła matematycznego, wyprowadzamy wzór na przyspieszenie ziemskie i obliczamy jego średnią wartość, korzystając ze średniego okresu. Następnie obliczamy niepewność pomiarową korzystając ze NKP, w tym celu obliczamy maksymalną i minimalną wartość przyspieszenia.
Zadanie 9.1.5.
135Zadanie 9.1.7.
136Zadanie 9.1.8.
136Zadanie 9.1.10.
136Zadanie 9.1.11.
137Zadanie 9.1.12.
137Zadanie 9.1.13.
137Zadanie 9.1.14.
137Zadanie 9.2.7.
144Zadanie 9.2.8.
144Zadanie 9.2.11.
145Zadanie 9.2.12.
145Zadanie 9.1.14.
145Zadanie 9.3.1
149Zadanie 9.3.7.
150Zadanie 9.3.8.
150Zadanie 9.3.10.
150Zadanie 9.3.11.
150Zadanie 9.3.12.
151Zadanie 9.3.14.
151Zadanie 9.4.2.
159Zadanie 9.4.10.
161Zadanie 9.4.17.
162Zadanie 1. Ruch drgający
174Zadanie 2. Suwnica bramowa
174Zadanie 3. Dwie sprężyny
175Zadanie 4. Winda towarowa
175Zadanie 5. Wahadło fizyczne
176