| Długość wahadła l [m] | 0,2 | 0,4 | 0,6 | 0,8 | 1 |
| Średni okres drgań T [s] | 0,908 | 1,242 | 1,538 | 1,776 | 1,949 |
| Kwadrat okresu | 0,824464 | 1,542564 | 2,365444 | 3,154176 | 3,798601 |
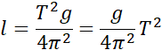
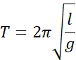
Najpierw pomocniczo sporządzamy tabelkę, w której obliczamy i wypisujemy kolejno dane a treści + kwadrat okresu. Następnie nanosimy, punkty i prowadzimy przez nie linię, która będzie wykresem naszej zależności długości wahadła od kwadratu okresu. Następnie bierzemy dowolny punkt, my wybraliśmy B i obliczamy stosunek wartości do argumentu, otrzymany wynik jest tangensem konta nachylenia prostej do osi poziomej, zatem skoro nasza prosta to funkcja liniowa, to jest to równe współczynnikowi kierunkowemu tej prostej, w ten sposób na podstawie wzoru na okres drgań wyprowadzamy równanie naszej prostej i przyrównując wartość