Dane:
Szukane:
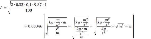
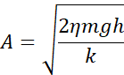
Rozwiązanie:
Piłka na wysokości h:
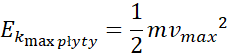
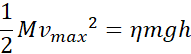
Na wysokości 1 m całkowita energia piłki jest równa jej energii potencjalnej grawitacji, gdyż nie wykonuje żadnego ruchu, więc energia kinetyczna jest równa 0, wiemy, że 0,33 tej energii po zderzeniu przejmuje płyta, stąd zapisujemy równanie i podstawiając za energię całkowitą płyty