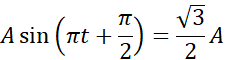
Po raz pierwszy dla
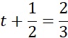
Widzimy, że czas wyjdzie ujemny, zatem musimy wziąć kolejny argument spełniający nasze równanie początkowe.
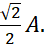
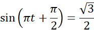
Z wykresu odczytujemy, kiedy sinus po raz pierwszy przyjmuje wartość