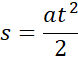
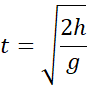
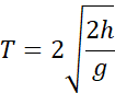
Okres drgań to czas, jaki pokona kulka od spadnięcia do ponownego wzniesienia się na wysokość , niech będzie czasem, jaki kulka potrzebuje, aby pokonać drogę od góry do dołu i od dołu do góry, dlatego, że w każdą stronę porusza się ruchem jednostajnie przyspieszonym, opóźnionym z przyspieszeniem ziemskim, zatem okres to dwukrotność czasu Na podstawie wzoru na drogę w ruchu jednostajnie przyspieszonym/opóźnionym obliczamy czas, a następnie okres.