Należy porównać otrzymane wyniki z podpunktu a), następnie udowodnić, że wzory są sobie równe.
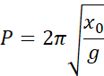
Teza:
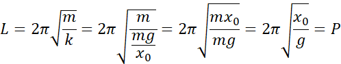
Dowód:
Z I zasady dynamiki:
Wyniki otrzymane w podpunkcie a) są w przybliżeniu jednakowe. Dowód równości otrzymujemy poprzez zastąpienie współczynnika sprężystości w pierwszym ze wzorów związkiem wyprowadzonym z I zasady dynamiki, czyli równości siły grawitacji i siły sprężystości.
Zadanie 9.1.5.
135Zadanie 9.1.7.
136Zadanie 9.1.8.
136Zadanie 9.1.10.
136Zadanie 9.1.11.
137Zadanie 9.1.12.
137Zadanie 9.1.13.
137Zadanie 9.1.14.
137Zadanie 9.2.7.
144Zadanie 9.2.8.
144Zadanie 9.2.11.
145Zadanie 9.2.12.
145Zadanie 9.1.14.
145Zadanie 9.3.1
149Zadanie 9.3.7.
150Zadanie 9.3.8.
150Zadanie 9.3.10.
150Zadanie 9.3.11.
150Zadanie 9.3.12.
151Zadanie 9.3.14.
151Zadanie 9.4.2.
159Zadanie 9.4.10.
161Zadanie 9.4.17.
162Zadanie 1. Ruch drgający
174Zadanie 2. Suwnica bramowa
174Zadanie 3. Dwie sprężyny
175Zadanie 4. Winda towarowa
175Zadanie 5. Wahadło fizyczne
176