Energia kinetyczna pojazdu zamienia się w energię wewnętrzną układu okładzin (hamulcowych, koła i podłoża).
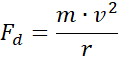
Siła odśrodkowa:
Gdzie:
m – masa, v – prędkość, r – promień okręgu
Siła ciężkości:
Gdzie:
m – masa, g – przyspieszenie ziemskie
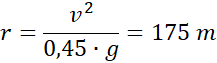
Aby samochód mógł się poruszać (żeby nie wypadł z toru), siła tarcia i siła odśrodkowa muszą mieć taką samą wartość.
100 km/h = 27,8 m/s