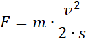
Siła hamująca : siła grawitacji:
Węzeł: 0,514 km/h
Siła:
Gdzie:
m – masa, a – przyspieszenie
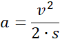
Przyspieszenie:
Gdzie:
Δv – zmiana prędkości, Δt – czas
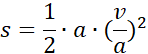
Droga w ruchu jednostajnie przyspieszonym:
Gdzie:
a – przyspieszenie, t - czas