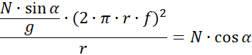
Gdy rozłożymy siłę naciągu na składowe, otrzymamy:
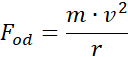
Siła odśrodkowa:
Gdzie:
m – masa, v – prędkość, r – promień okręgu
Siła grawitacja:
Gdzie:
m – masa, g – przyspieszenie ziemskie
Prędkość w ruchu po okręgu:
Gdzie:
r – promień okręgu, f - częstotliwość