Można przyjąć, że jabłko jest w odległości 6400 km.
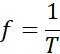
Częstotliwość:
Gdzie: T – okres, czas jednego pełnego obrotu
Prędkość w ruchu po okręgu:
Gdzie:
r – promień okręgu, f - częstotliwość
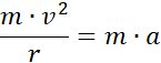
Żeby Księżyc nie oddalił się od Ziemi, siła odśrodkowa musi się równać sile grawitacji.
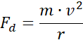
Siła odśrodkowa:
Gdzie:
m – masa, v – prędkość, r – promień okręgu
Siła ciężkości:
Gdzie:
m – masa, g – przyspieszenie ziemskie