W tym zadaniu musisz obliczyć promień okręgu.
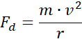
Siła dośrodkowa:
Gdzie:
m – masa, v – prędkość, r – promień okręgu
Siła grawitacji:
m – masa, g – przyspieszenie ziemskie
4 siły grawitacji = siła odśrodkowa + siła grawitacji
Ćwiczenie 2.1.
Ćwiczenie 2.2.
Ćwiczenie 2.3.
Ćwiczenie 2.4.
Ćwiczenie 2.5.
Ćwiczenie 2.6.
Podpunkt a)
Podpunkt b)
Ćwiczenie 2.7.
Ćwiczenie 2.8.
Ćwiczenie 2.9.
Ćwiczenie 2.10.
Ćwiczenie 2.11.
Ćwiczenie 2.12.
Ćwiczenie 2.13.
Ćwiczenie 2.14.
Ćwiczenie 2.15.
Ćwiczenie 2.16.
Ćwiczenie 2.17.
Ćwiczenie 2.18.
Ćwiczenie 2.19.
Ćwiczenie 2.20.
Ćwiczenie 2.21.
Podpunkt c)
Ćwiczenie 2.22.
Ćwiczenie 2.23.
Ćwiczenie 2.24.
Ćwiczenie 2.25.
Ćwiczenie 2.26.
Ćwiczenie 2.27.
Ćwiczenie 2.28.
Podpunkt d)
Ćwiczenie 2.29.
Ćwiczenie 2.30.
Ćwiczenie 2.31.
Ćwiczenie 2.32.
Ćwiczenie 2.33.
Ćwiczenie 2.34.
Ćwiczenie 2.35.
Ćwiczenie 2.36.
Ćwiczenie 2.37.
Ćwiczenie 2.38.
Ćwiczenie 2.39.
Ćwiczenie 2.40.
Ćwiczenie 2.41.
Ćwiczenie 2.42.
Ćwiczenie 2.43.
Ćwiczenie 2.44.
Ćwiczenie 2.45.
Ćwiczenie 2.46.
Ćwiczenie 2.47.
Ćwiczenie 2.48.
Ćwiczenie 2.49.
Ćwiczenie 2.50.
Ćwiczenie 2.51.
Ćwiczenie 2.52.
Ćwiczenie 2.53.
Ćwiczenie 2.54.
Ćwiczenie 2.55.
Ćwiczenie 2.56.
Ćwiczenie 2.57.
Ćwiczenie 2.58.
Ćwiczenie 2.59.
Ćwiczenie 2.60.
Ćwiczenie 2.61.
Ćwiczenie 2.62.
Ćwiczenie 2.63.
Ćwiczenie 2.64.
Ćwiczenie 2.65.
Ćwiczenie 2.66.
Ćwiczenie 2.67.
Ćwiczenie 2.68.
Ćwiczenie 2.69.
Ćwiczenie 2.70.
Ćwiczenie 2.71.
Ćwiczenie 2.72.
Ćwiczenie 2.73.
Ćwiczenie 2.74.