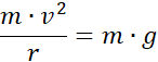
Siła grawitacji = siła odśrodkowa
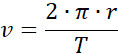
Okres:
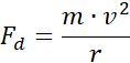
Siła odśrodkowa:
Gdzie:
m – masa, v – prędkość, r – promień okręgu
Siła grawitacji:
Gdzie:
m – masa, g – przyspieszenie ziemskie
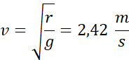
Prędkość w ruchu po okręgu:
Gdzie:
T – okres, r – promień okręgu