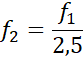
W tym zadaniu musisz obliczyć zmianę częstotliwości obracającej się płyty.
Częstotliwość płyty maleje 2,5 razy.
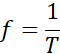
Częstotliwość:
Gdzie: T – okres, czas jednego pełnego obrotu
Jeśli T2 jest większe o 150% T1 to T2 = (1 + 1,5) T1
Ćwiczenie 2.1.
Ćwiczenie 2.2.
Ćwiczenie 2.3.
Ćwiczenie 2.4.
Ćwiczenie 2.5.
Ćwiczenie 2.6.
Podpunkt a)
Podpunkt b)
Ćwiczenie 2.7.
Ćwiczenie 2.8.
Ćwiczenie 2.9.
Ćwiczenie 2.10.
Ćwiczenie 2.11.
Ćwiczenie 2.12.
Ćwiczenie 2.13.
Ćwiczenie 2.14.
Ćwiczenie 2.15.
Ćwiczenie 2.16.
Ćwiczenie 2.17.
Ćwiczenie 2.18.
Ćwiczenie 2.19.
Ćwiczenie 2.20.
Ćwiczenie 2.21.
Podpunkt c)
Ćwiczenie 2.22.
Ćwiczenie 2.23.
Ćwiczenie 2.24.
Ćwiczenie 2.25.
Ćwiczenie 2.26.
Ćwiczenie 2.27.
Ćwiczenie 2.28.
Podpunkt d)
Ćwiczenie 2.29.
Ćwiczenie 2.30.
Ćwiczenie 2.31.
Ćwiczenie 2.32.
Ćwiczenie 2.33.
Ćwiczenie 2.34.
Ćwiczenie 2.35.
Ćwiczenie 2.36.
Ćwiczenie 2.37.
Ćwiczenie 2.38.
Ćwiczenie 2.39.
Ćwiczenie 2.40.
Ćwiczenie 2.41.
Ćwiczenie 2.42.
Ćwiczenie 2.43.
Ćwiczenie 2.44.
Ćwiczenie 2.45.
Ćwiczenie 2.46.
Ćwiczenie 2.47.
Ćwiczenie 2.48.
Ćwiczenie 2.49.
Ćwiczenie 2.50.
Ćwiczenie 2.51.
Ćwiczenie 2.52.
Ćwiczenie 2.53.
Ćwiczenie 2.54.
Ćwiczenie 2.55.
Ćwiczenie 2.56.
Ćwiczenie 2.57.
Ćwiczenie 2.58.
Ćwiczenie 2.59.
Ćwiczenie 2.60.
Ćwiczenie 2.61.
Ćwiczenie 2.62.
Ćwiczenie 2.63.
Ćwiczenie 2.64.
Ćwiczenie 2.65.
Ćwiczenie 2.66.
Ćwiczenie 2.67.
Ćwiczenie 2.68.
Ćwiczenie 2.69.
Ćwiczenie 2.70.
Ćwiczenie 2.71.
Ćwiczenie 2.72.
Ćwiczenie 2.73.
Ćwiczenie 2.74.