Siła z jaką jest przyciskany do siedzenia Jakub:
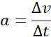
Siła:
Gdzie:
m – masa, a – przyspieszenie
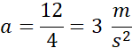
Przyspieszenie:
Gdzie:
Δv – zmiana prędkości, Δt – czas
przyspieszenie = zmiana prędkości w czasie
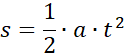
Droga w ruchu jednostajnie przyspieszonym:
Gdzie:
a – przyspieszenie, t - czas