Zadanie

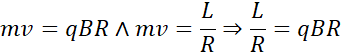
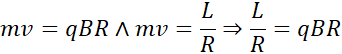
W tym zadaniu należy znaleźć zależność przedstawiającą moment pędu naładowanej cząstki w polu magnetycznym.

Rozwiązanie

Wyjaśnienie

Zadania z tego działu
Pole magnetyczne
213
Zadania maturalne
257

Zadanie 1. – Elektron na orbicie

258

Zadanie 2. – Rezonans jądrowy

259

Zadanie 3. – Wiatr słoneczny

260