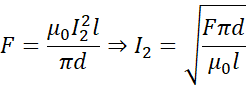
Siła elektromotoryczna działająca na drugi przewodnik z prądem spowodowana jest przez pole magnetyczne pierwszego – obydwie wyżej wspomniane wielkości fizyczne wyliczam z definicji i łącząc, otrzymuję zależność reprezentującą wspomnianą siłę. Korzystam z wiadomości, że natężenie w pierwszym przewodzie jest dwa razy większe niż w drugim i wyliczam te natężenia.