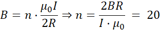
W tym zadaniu należy obliczyć liczbę zwojów cewki.
Korzystam z definicyjnej zależności określającej indukcję magnetyczną cewki i przekształcając ten wzór, wyliczam liczbę zwojów w cewce.
Zadanie 14.1.1
Zadanie 14.1.2
Zadanie 14.1.3
Zadanie 14.1.4
Zadanie 14.1.5
Zadanie 14.1.6
Podpunkt a)
Podpunkt b)
Zadanie 14.1.7
Zadanie 14.1.8
Zadanie 14.1.9
Zadanie 14.1.10
Zadanie 14.1.11
Podpunkt c)
Zadanie 14.1.12
Zadanie 14.1.13
Zadanie 14.1.14
Zadanie 14.1.15
Zadanie 14.1.16
Zadanie 14.1.17
Zadanie 14.1.18
Zadanie 14.2.1
Zadanie 14.2.2
Podpunkt d)
Zadanie 14.2.3
Zadanie 14.2.4
Zadanie 14.2.5
Zadanie 14.2.6
Zadanie 14.2.7
Zadanie 14.2.8
Zadanie 14.2.9
Zadanie 14.2.10
Zadanie 14.2.11
Zadanie 14.3.1
Zadanie 14.3.2
Zadanie 14.3.3
Zadanie 14.3.4
Zadanie 14.3.5
Zadanie 14.3.6
Zadanie 14.3.7
Zadanie 14.3.8
Zadanie 14.3.9
Zadanie 14.3.10
Zadanie 14.3.11
Zadanie 14.3.12
Zadanie 14.3.13
Zadanie 14.3.14
Zadanie 14.3.15
Zadanie 14.5.1
Zadanie 14.4.1
Zadanie 14.5.2
Zadanie 14.4.2
Zadanie 14.5.3
Zadanie 14.4.3
Zadanie 14.5.4
Zadanie 14.4.4
Zadanie 14.5.5
Zadanie 14.4.5
Zadanie 14.5.6
Zadanie 14.4.6
Zadanie 14.5.7
Zadanie 14.4.7
Zadanie 14.5.8
Zadanie 14.4.8
Zadanie 14.4.9
Zadanie 14.5.9
Zadanie 14.4.10
Zadanie 14.5.10
Zadanie 14.4.11
Zadanie 14.5.11
Zadanie 14.4.12
Zadanie 14.5.12
Zadanie 14.4.13
Zadanie 14.5.13
Zadanie 14.4.14
Zadanie 14.5.14
Zadanie 14.1
Zadanie 14.2
Zadanie 14.3
Zadanie 14.4
Zadanie 14.5
Zadanie 14.6
Zadanie 14.7
Zadanie 1. – Elektron na orbicie
Podpunkt 1.1
Podpunkt 1.2
Podpunkt 1.3
Podpunkt 1.4
Zadanie 2. – Rezonans jądrowy
Podpunkt 2.1
Podpunkt 2.2
Podpunkt 2.3
Podpunkt 2.4
Zadanie 3. – Wiatr słoneczny
Podpunkt 3.1
Podpunkt 3.2
Podpunkt 3.3