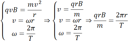
W celu obliczenia okresu obiegu cząstki konstruuję układ równań składający się z równoważności siły dośrodkowej i siły Lorentza, ponieważ w polu magnetycznym to siła Lorentza odpowiada za krzywiznę toru, zatem pełni rolę siły dośrodkowej, z reprezentacji prędkości w ruchu po okręgu jako iloczynu częstości kołowej i promienia, oraz rozpisanej częstości kołowej.
W celu wyznaczenia wartości energii kinetycznej posiłkuję się wyznaczonym wzorem na prędkość z powyższego układu równań, który wywodzi się z równoważności siły dośrodkowej i siły Lorentza oraz klasycznym wzorem na energię kinetyczną.