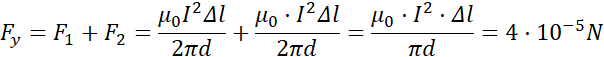
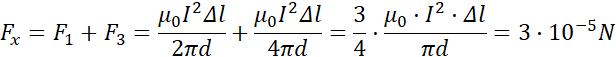
Ogólnie – nie na podstawie powyższego rysunku (wyprowadzenie wzoru na siłę)
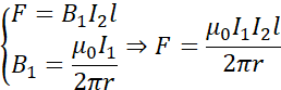
Siła elektromotoryczna działająca na drugi przewodnik z prądem spowodowana jest przez pole magnetyczne pierwszego – obydwie wyżej wspomniane wielkości fizyczne wyliczam z definicji i łącząc, otrzymuję zależność reprezentującą wspomnianą siłę. Z tak wyprowadzonego wzoru wyznaczam graficznie siły dla każdego z przewodników i aby określić sumaryczną (wypadkową) siłę działającą na konkretny przewód (określoną długość: zakładam