W tym zadaniu należy obliczyć natężenie prądu, jakie tworzy elektron na pierwszej orbicie w atomie wodoru.
Rozwiązanie
Wyjaśnienie
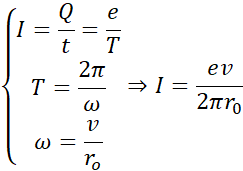
Reprezentuję w układzie równań definicyjne wzory – natężenie jako iloraz ładunku i czasu, okres jako odwrotność częstości kołowej przemnożone przez oraz samą częstość kołową jako iloraz prędkości i promienia. Z tak skonstruowanego układu wyznaczam zależność natężenia uzależnioną od ładunku, prędkości i promienia.