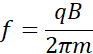
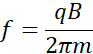
Częstotliwość jest stała, gdyż w jej skład wchodzą same wartości stałe.
Prędkość w ruchu po okręgu możesz zapisać, posługując się iloczynem podwojonej stałej
Cząstka z ładunkiem w polu magnetycznym będzie poruszała się ruchem po okręgu, więc siłą zakrzywiającą tor ruchu musi być siła Lorentza – pełni ona funkcję siły dośrodkowej:
Na mocy powyższego wstaw za v zapisaną reprezentację prędkości: