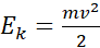
1) Energia kinetyczna cząstki
2) Zmiana pędu cząstki
3) Cząstka
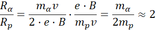
4) Z tą samą prędkością w pole magnetyczne wlatuje proton. Promień zatoczonego przez niego łuku jest ok. 4 razy mniejszy niż promień łuku zatoczonego przez cząstkę
Zdanie pierwsze jest prawdziwe, ponieważ licząc energię cząstki alfa z klasycznej zależności
Zdanie drugie jest fałszywe, ponieważ licząc zmianę pędu cząstki pomiędzy chwilą wejścia w pole a chwilą opuszczenia pola, otrzymujesz wynik dwukrotnie większy.
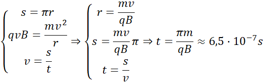
Zdanie trzecie jest prawdziwe, ponieważ licząc czas przebycia przez cząsteczkę drogi równej półokręgowi w polu magnetycznym, otrzymasz podany wynik, promień okręgu wyliczysz przy założeniu, że siła Lorentza pełni rolę siły dośrodkowej.
Zdanie czwarte jest fałszywe, ponieważ z kalkulacji wynika, że promień protonu jest ok. 2 razy mniejszy od promienia cząstki alfa, można to pokazać, korzystając z wyżej wyznaczonego promienia, kiedy to siła Lorentza potraktowana została jako siła dośrodkowa.