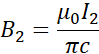
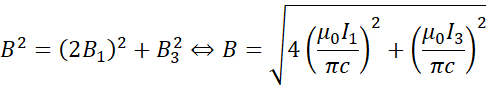
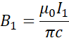
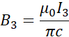
Wyliczam indukcję od każdego przewodnika z prądem, korzystając z definicji indukcji pola magnetycznego wokół przewodnika z prądem i sumuję odpowiednio wektory (których zwroty określono poprzednio z reguły prawej dłoni) – w ostatecznym rozrachunku warto skorzystać z twierdzenia Pitagorasa – metoda trójkątów sumowania wektorowego.