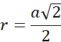
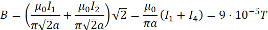
Z każdego wierzchołka kwadratu (w każdym wierzchołku znajduje się przewodnik z płynącym prądem) wyznaczam graficznie wektor indukcji, a następnie obliczam go z definicji. Po tych operacjach okazuje się, że indukcje ze wskaźnikami dolnymi 1 i 2 są sobie równe, tak samo 3 i 4 (w sensie wartości), zatem suma indukcji 1 i 4 oraz 3 i 2 tworzą wraz z przedłużeniami równoległymi kwadrat o takich bokach – wynika z tego, że wypadkowy wektor indukcji będzie przekątną tego kwadratu.