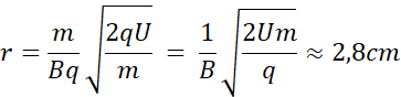
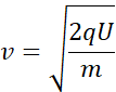
Wstawiam zależność opisującą prędkość:
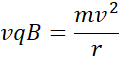
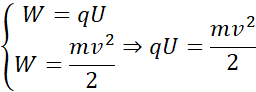
W sytuacji tej praca elektrycznego pola pochodzącego od napięcia przemieniana jest w energię kinetyczną – wszak to właśnie napięcie pozwala nabrać elektronowi prędkości, z porównania tych zależności wyliczyć możesz prędkość. Następnie z wiadomości, że siła Lorentza pełni rolę siły dośrodkowej, wyznacz promień.