Oblicz przyspieszenie samochodu.
Przelicz prędkość samochodu z na :
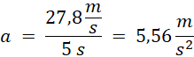
Oblicz przyspieszenie samochodu
Zadanie 1.
Zadanie 2.
Zadanie 3.
Zadanie 4.
Podpunkt a)
Podpunkt b)
Podpunkt c)
Zadanie 5.
Podpunkt d)
Zadanie 1
Zadanie Policzmy razem
Podpunkt e)
Podpunkt f)
Zadanie Przyspieszenie roweru
Zadanie Przyspieszenie samochodu