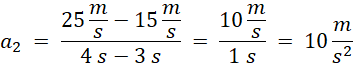
Zadanie

Oblicz przyspieszenia, z jakimi ciała poruszały się w kolejnych momentach ruchu.

Rozwiązanie

Wyjaśnienie

Zadania z tego działu
II. Ciała w ruchu
21
8. Wykresy opisujące ruch
24
12. Ruch prostoliniowy jednostajnie przyspieszony
33
13. Ruch prostoliniowy jednostajnie przyspieszony i jednostajnie opóźniony
35
14. Analiza wykresów przedstawiających ruch
37
Sprawdź, czy potrafisz
40